9 chiến sỹ công an nghĩa vụ Lạng Sơn đỗ cao vào Học viện An ninh
Nguồn tin riêng của phóng viên Tiền Phong cho thấy, 9 chiến sỹ công an nghĩa vụ của Lạng Sơn nằm trong nhóm thí sinh đỗ cao vào Học viện an ninh.
Các thủ khoa Học viện An ninh năm 2018 đều là thí sinh Hòa Bình và Lạng Sơn
Lạng Sơn: Phát hiện kho chứa số lượng lớn bình “khí cười”
Lạng Sơn: Phát hiện thi thể người đàn ông đang phân hủy trong căn lều hoang
Lạng Sơn: Gần 2 năm Công ty TNHH Hà Sơn không phục hồi môi trường tại đồi Rọ Phải
Điểm thi bất thường ở Lạng Sơn: Có 8 bài thi môn Ngữ Văn giảm điểm
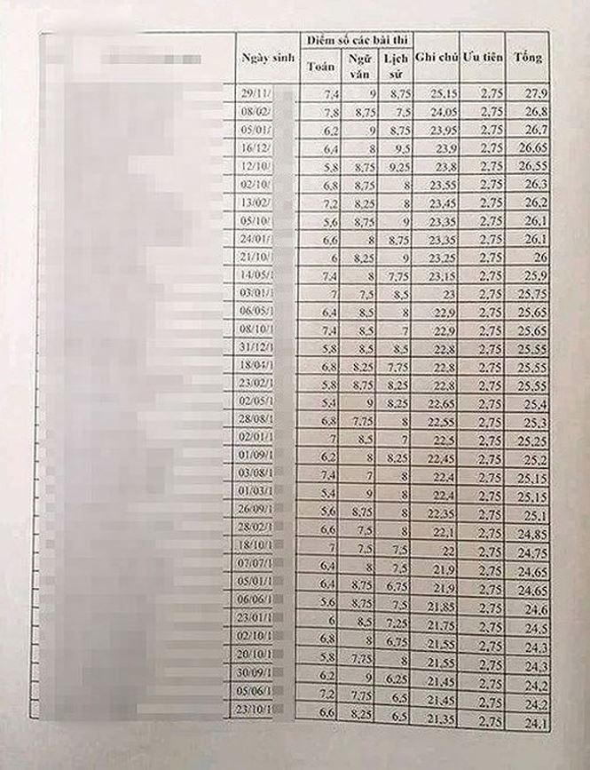
Sau khi Học viện An ninh công bố điểm chuẩn vào trường, thống kê của Phóng viên Tiền phong cho thấy, trong danh sách 216 thí sinh trúng tuyển thì tỉnh Lạng Sơn có đến 23 thí sinh đỗ với 15 thí sinh tự do.

Trong 15 thí sinh tự do, theo nguồn tin của phóng viên có tới 9 công an nghĩa vụ của Lạng Sơn. Đây là số công an nghĩa vụ nằm trong danh sách 35 công an được tổ chức thi chung phòng và có điểm thi cao trong đợt thi vừa qua khiến dư luận xôn xao.

Trả lời phóng viên báo Tiền Phong, Lãnh đạo Học viện An ninh nhân dân cho biết , kết quả tuyển sinh theo khối cho thấy, có 6 thí sinh thủ khoa (3 nam, 3 nữ ở 3 tổ hợp xét tuyển) đều thuộc các tỉnh phía Bắc, tập trung ở các tỉnh Hòa Bình và Lạng Sơn. 2/6 thí sinh là của Lạng Sơn (chiếm 33,3%) gồm 1 thí sinh nam xét tuyển tổ hợp A01 và 1 thí sinh nam xét tuyển tổ hợp D01 (28,5 điểm).
“Quan điểm nhà trường rất mong muốn tổ thẩm định của Bộ GD&ÐT cũng như Bộ Công an sớm có kết quả rà soát những tỉnh đó và trả lời cho Học viện biết để có hướng xử lý tiếp theo đối với thí sinh theo đúng quy định, quy chế”. Ðại diện Hội đồng tuyển sinh Học viện An ninh nhân dân cho hay.

