Lạ kỳ bài thi 0 điểm tăng lên 8,75 sau chấm phúc khảo
Sau chấm phúc khảo các bài thi THPT Quốc gia 2019 ở Tây Ninh, nhiều bài tăng từ 0 lên 7-8,5 điểm.
Kết thúc thi THPT quốc gia 2019: Hôm nay bắt đầu chấm thi
Điểm mới trong chấm thi trắc nghiệm kỳ thi THPT Quốc gia năm 2019
Mã hóa dữ liệu chấm thi THPT quốc gia phòng ngừa gian lận
Thi THPT quốc gia 2019: Dễ nảy sinh tiêu cực trong chấm thi môn Ngữ văn
Đề xuất chấm thi trắc nghiệm THPT Quốc gia năm 2019 theo khu vực
Sở GD&ĐT Tây Ninh vừa công bố kết quả chấm phúc khảo kỳ thi THPT Quốc gia 2019.
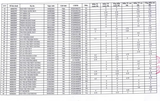
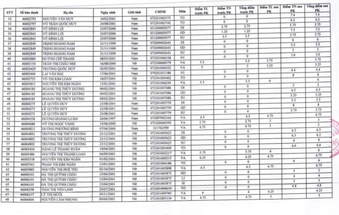
Cụ thể, trong tổng số 95 bài thi tăng điểm sau chấm phúc khảo có 58 bài thi trắc nghiệm bị điểm 0. Bài tăng điểm nhiều nhất là từ 0 lên đến 8,75; bài tăng ít nhất từ 0 lên 2 điểm. Nhiều bài thi thay đổi từ 0 lên 7 - 7,5 điểm sau chấm phúc khảo.
Đặc biệt, có trường hợp điểm thay đổi từ 0 lên 8 hoặc hơn. Em Lê Quang Huy và em Nguyễn Thị Thu Thảo sau chấm phúc khảo môn giáo dục công dân có điểm số thay đổi từ 0 lên 8. Cũng môn thi này, em Nguyễn Thị Kim Thoa sau phúc khảo điểm từ 0 lên 8,75. Em Lê Quang Kỳ với điểm phúc khảo môn Vật lý tăng từ 0 lên 8,5.



Danh sách thí sinh có điểm thay đổi sau phúc khảo. (Ảnh: Sở GD&ĐT Tây Ninh)
Ngoài số bài thi bị điểm 0, có 4 bài thi trắc nghiệm khác cũng tăng điểm phúc khảo. Ở môn Ngữ văn có 33 bài thi tăng điểm sau phúc khảo. Số điểm tăng dao động từ 0,25 đến 0,75 điểm. Bài tăng điểm nhiều nhất là 1,75.
Sau kỳ thi THPT Quốc gia 2019, Sở GD&ĐT tỉnh Tây Ninh cho biết, toàn tỉnh có 7.942 được xét công nhận tốt nghiệp trong tổng số 8453 thí sinh dự thi (tỷ lệ 93,95%). Nếu so với năm 2018, tỷ lệ tốt nghiệp của Tây Ninh năm nay giảm 3,24%.
Trong đó, khối THPT có tỷ lệ tốt nghiệp là 95,76%; GDTX: 56,54% và học sinh tự do đạt 25,42%. 8 trường có tỷ lệ tốt nghiệp từ 99% trở lên. Trung tâm giáo dục thường xuyên thị xã Gò Dầu chỉ có 30,9%% học sinh đỗ tốt nghiệp.
(Tiêu đề do Pháp luật Plus đặt lại)

